ASI585MM-P CAMERA

ZWO ASI585MM-P

New product

ASI585MM-P CAMERA

More details

2 Items

Available.

684.00 CHF tax incl.

More info

ASI585MM-P CAMERA

Overview

The ZWO ASI585MM-P is an upgraded version of the ASI585MM, featuring a dual-stage thermoelectric cooling system. Specifically designed for deep-sky astrophotography, it significantly reduces thermal noise, enabling cleaner and more detailed long-exposure images. Its active cooling ensures optimal performance even during extended imaging sessions.

Technical Specifications

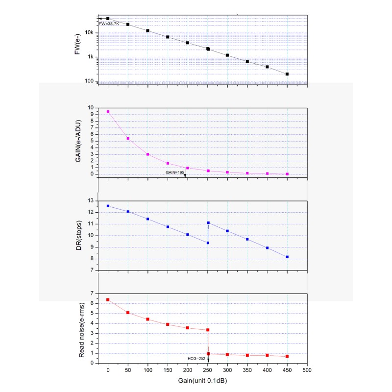
  • Sensor: Sony IMX585 monochrome, STARVIS 2 technology

  • Sensor Format: 1/1.2" (11.2 mm x 6.3 mm)

  • Resolution: 8.29 MP (3840 x 2160)

  • Pixel Size: 2.9 µm

  • Full Well Capacity: 40 ke-

  • Max Quantum Efficiency: 91 %

  • Exposure Range: 32 µs to 2000 s

  • Interface: USB 3.0, compatible with ZWO and third-party software

  • Cooling Type: Dual-stage thermoelectric cooling

  • Optical Mount: M42x0.75

  • Dimensions: 62 mm diameter

  • Weight: 140 g

  • Compatibility: Windows, macOS, Linux